
因果推論の考え方とランダム化比較試験
関西大学総合情報学部
2025-08-15
各講義は以下の内容に関する理論と実習を6:4で行う予定。第3回以降の実習はコードの解説が中心となる。また、履修者の理解・進捗状況に応じて変更の可能性がある。
実習はRで行う。2日目のオンデマンド講義ではRの導入および使い方についても解説(復習レベル)する。

計量政治学とR
R全般
平常点と期末レポート
研究のプロポーザル
自分で計算できなくても、結果の読み方が分かるレベル
Morgan and Winship (2014) Counterfactuals and Causal Inference: Methods And Principles For Social Research. Cambridge.
More has been learned about causal inference in the last few decades than sum total of everything that had been learned about it in all prior recorded history. (Gary King)


原因(\(X\))と結果(\(Y\))の関係

年齢(世代)と投票率の関係(架空の例)
Simultaneity

原因と結果の間に双方向の因果関係が存在
\(\Rightarrow\) 酒がストレスに与える影響は?
Spurious Correlation、擬似相関

Spurious Correlation、擬似相関

Spurious Correlation、擬似相関


Reverse Causality
| 5年後に死亡 | 5年後に生存 | ||
|---|---|---|---|
| 心臓移植を | 受けた | 10名 | 5名 |
| 受けなかった | 5名 | 10名 |
Reverse Causality

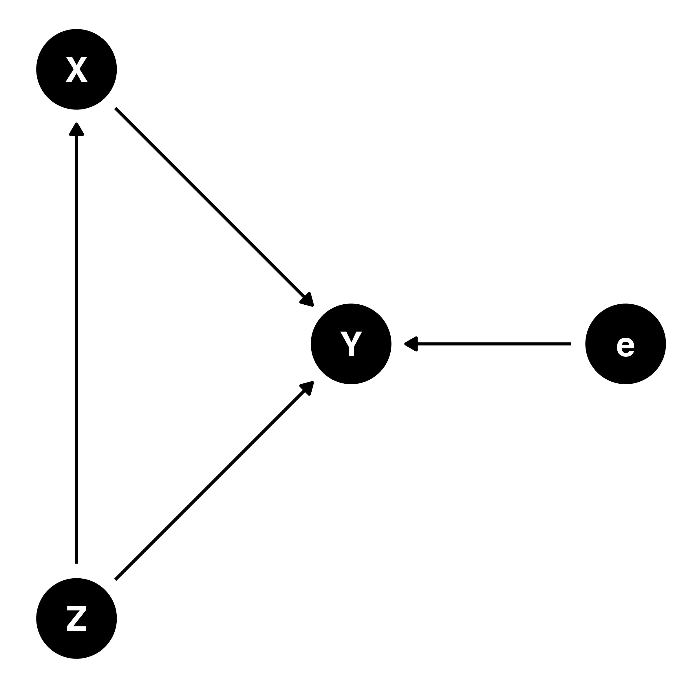
Omitted Variable Bias
例) 真のモデルが\(Y = \beta_0 + \beta_1 \cdot X + \beta_2 \cdot Z + e\)の場合

Omitted Variable Bias
例) 真のモデルが\(Y = \beta_0 + \beta_1 \cdot X + \beta_2 \cdot Z + e\)の場合

(Self-)Selection Bias
| 3年後の収入 | ||
|---|---|---|
| 職業訓練を | 受けた | 6349ドル |
| 受けなかった | 6984ドル |
これまでの多くの例は内生性(endogeneity)の問題
ソンさんの講義を履修することで期待年収が上がるか
講義履修の効果
ソンさんの講義を履修することで期待年収が上がるか
講義履修の効果(ケース1)
| 履修しなかった場合の年収(A) | 履修した場合の年収(B) | 効果(B-A) | |
|---|---|---|---|
| ケース1 | 5000万 | 5000万 | 0万 |
ソンさんの講義を履修することで期待年収が上がるか
講義履修の効果(ケース2)
| 履修しなかった場合の年収(A) | 履修した場合の年収(B) | 効果(B-A) | |
|---|---|---|---|
| ケース2 | 1000万 | 5000万 | 4000万 |
ソンさんの講義を履修することで期待年収が上がるか
講義履修の効果(ケース3)
| 履修しなかった場合の年収(A) | 履修した場合の年収(B) | 効果(B-A) | |
|---|---|---|---|
| ケース3 | 8000万 | 5000万 | -3000万 |
ソンさんの講義を履修することで期待年収が上がるか
講義履修の効果
| 履修しなかった場合の年収(A) | 履修した場合の年収(B) | 効果(B-A) | |
|---|---|---|---|
| ケース1 | 5000万 | 5000万 | 0万 |
| ケース2 | 1000万 | 5000万 | 4000万 |
| ケース3 | 8000万 | 5000万 | -3000万 |
Neyman-Rubin-HollandのPotential Outcome Framework
ITEの平均値は-4であり、個人差はあるものの、全体的に薬は成績に負の影響
| \(i\) | \(T_i\) | \(Y_i(T_i = 0)\) | \(Y_i(T_i = 1)\) | \(ITE_i\) |
|---|---|---|---|---|
| 1 | 1 | 77 | 85 | 8 |
| 2 | 1 | 49 | 59 | 10 |
| 3 | 1 | 60 | 66 | 6 |
| 4 | 0 | 61 | 44 | -17 |
| 5 | 0 | 50 | 39 | -11 |
| 6 | 0 | 75 | 55 | -20 |
| 平均 | 62 | 58 | -4 |
しかし、各ケースにおいて観察できるのは\(Y_i(T_i = 1)\)か\(Y_i(T_i = 0)\)、片方のみ
| \(i\) | \(T_i\) | \(Y_i(T_i = 0)\) | \(Y_i(T_i = 1)\) | \(\mbox{ITE}_i\) |
|---|---|---|---|---|
| 1 | 1 | 観察不可 | 85 | 計算不可 |
| 2 | 1 | 観察不可 | 59 | 計算不可 |
| 3 | 1 | 観察不可 | 66 | 計算不可 |
| 4 | 0 | 61 | 観察不可 | 計算不可 |
| 5 | 0 | 50 | 観察不可 | 計算不可 |
| 6 | 0 | 75 | 観察不可 | 計算不可 |
| 平均 | 62 | 70 | 8 |
履修者5名と非履修者5名の年収の比較
| \(i\) | \(T_i\) | \(Y_i(T_i = 0)\) | \(Y_i(T_i = 1)\) | \(\mbox{ITE}_i\) |
|---|---|---|---|---|
| 1 | 1 | ? | 700 | ? |
| 2 | 1 | ? | 1000 | ? |
| 3 | 1 | ? | 550 | ? |
| 4 | 1 | ? | 350 | ? |
| 5 | 1 | ? | 400 | ? |
| 6 | 0 | 400 | ? | ? |
| 7 | 0 | 500 | ? | ? |
| 8 | 0 | 350 | ? | ? |
| 9 | 0 | 750 | ? | ? |
| 10 | 0 | 500 | ? | ? |
| 平均 | 500 | 600 | 100 |
履修者5名と非履修者5名の年収の比較(ケース1)
| \(i\) | \(T_i\) | \(Y_i(T_i = 0)\) | \(Y_i(T_i = 1)\) | \(\mbox{ITE}_i\) |
|---|---|---|---|---|
| 1 | 1 | 550 | 700 | 150 |
| 2 | 1 | 650 | 1000 | 350 |
| 3 | 1 | 600 | 550 | -50 |
| 4 | 1 | 300 | 350 | 50 |
| 5 | 1 | 300 | 400 | 100 |
| 6 | 0 | 400 | 300 | -100 |
| 7 | 0 | 500 | 700 | 200 |
| 8 | 0 | 350 | 600 | 250 |
| 9 | 0 | 750 | 700 | -50 |
| 10 | 0 | 500 | 400 | -100 |
| 平均 | 490 | 570 | 80 |
履修者5名と非履修者5名の年収の比較(ケース2)
| \(i\) | \(T_i\) | \(Y_i(T_i = 0)\) | \(Y_i(T_i = 1)\) | \(\mbox{ITE}_i\) |
|---|---|---|---|---|
| 1 | 1 | 800 | 700 | -100 |
| 2 | 1 | 650 | 1000 | 350 |
| 3 | 1 | 600 | 550 | -50 |
| 4 | 1 | 400 | 350 | -50 |
| 5 | 1 | 350 | 400 | 50 |
| 6 | 0 | 400 | 300 | -100 |
| 7 | 0 | 500 | 500 | 0 |
| 8 | 0 | 350 | 400 | 50 |
| 9 | 0 | 750 | 500 | -250 |
| 10 | 0 | 500 | 400 | -100 |
| 平均 | 530 | 510 | -20 |

ATE 推定値の信頼性を損なう敵: 内生性(しかも、常に存在する)
例) やる気のある学生だけがソンさんの講義を履修した場合
内生性は因果推論の敵! どうすれば…?
\(\downarrow\)
無作為割当無作為割当(random assignment)
コインを投げ、表(\(H\))なら統制群、裏(\(T\))なら処置群に割当
| ID | Female | Age | ID | Female | Age | |
|---|---|---|---|---|---|---|
| 1 | 1 | 31 | 11 | 0 | 38 | |
| 2 | 1 | 41 | 12 | 1 | 29 | |
| 3 | 0 | 31 | 13 | 0 | 21 | |
| 4 | 1 | 46 | 14 | 0 | 26 | |
| 5 | 1 | 37 | 15 | 1 | 36 | |
| 6 | 1 | 37 | 16 | 1 | 40 | |
| 7 | 0 | 30 | 17 | 0 | 50 | |
| 8 | 1 | 46 | 18 | 0 | 42 | |
| 9 | 1 | 56 | 19 | 0 | 29 | |
| 10 | 0 | 47 | 20 | 1 | 47 |
コイン投げの結果
| ID | Female | Age | Coin | ID | Female | Age | Coin | |
|---|---|---|---|---|---|---|---|---|
| 1 | 1 | 31 | H | 11 | 0 | 38 | H | |
| 2 | 1 | 41 | T | 12 | 1 | 29 | T | |
| 3 | 0 | 31 | T | 13 | 0 | 21 | H | |
| 4 | 1 | 46 | T | 14 | 0 | 26 | T | |
| 5 | 1 | 37 | H | 15 | 1 | 36 | H | |
| 6 | 1 | 37 | H | 16 | 1 | 40 | T | |
| 7 | 0 | 30 | H | 17 | 0 | 50 | T | |
| 8 | 1 | 46 | T | 18 | 0 | 42 | T | |
| 9 | 1 | 56 | H | 19 | 0 | 29 | H | |
| 10 | 0 | 47 | H | 20 | 1 | 47 | H |
統制群と処置群が比較的同質的なグループに
集団として処置群と統制群は、母集団とほぼ同質
無作為割当は均質な複数のグループを作る手法








Randomized Controlled Trial(RCT)
以下のデータ生成過程を仮定
\[ \mbox{Income} = \beta_0 + \beta_1 \cdot \mbox{Quant} + \varepsilon \]


Bertand and Mullainathan(2004)
処置変数: 人種(\(\in \{\mbox{black}, \mbox{white}\}\))
応答変数: 連絡の有無(\(\in \{0, 1\}\))

\(\Rightarrow\) 内生性がある限り、因果効果の識別は困難
\(\Rightarrow\) ケースによって政策的含意が変わる。
| 白人の名前 | 黒人の名前 | |
|---|---|---|
| Female | 76.42% | 77.45% |
| HighQuality | 50.23% | 50.23% |
| Call Rate | 9.65% | 6.45% |
| 計(人) | 2435 | 2435 |
無作為割当が行われているか否かを確認

標準化差分を使用
連続変数
\[ \mbox{SB}_{T-C} = 100 \cdot \frac{\bar{X}_T - \bar{X}_C}{\sqrt{0.5 \cdot (s_T^2 + s_C^2)}} \]
二値変数
\[ \mbox{SB}_{T-C} = 100 \cdot \frac{\bar{X}_T - \bar{X}_C}{\sqrt{0.5 \cdot (\bar{X}_T(1-\bar{X}_T) + \bar{X}_C(1-\bar{X}_C))}} \]
| 線形回帰分析(LPM) | ロジスティック回帰分析 | プロビット回帰分析 | |
|---|---|---|---|
| Intercept | 0.064 (0.006) | -2.675 (0.083) | -1.518 (0.040) |
| White | 0.032 (0.008) | 0.438 (0.107) | 0.217 (0.053) |
| Num.Obs. | 4870 | 4870 | 4870 |
| AIC | 1130.5 | 2713.9 | 2713.9 |
| F | 16.931 | 16.669 | 16.836 |
無作為割当のおかげですべての変数が互いに独立
| Coef. (SE) | |
|---|---|
| Intercept | 0.060 (0.023) |
| White | 0.032 (0.008) |
| Female | 0.007 (0.009) |
| Military | -0.027 (0.014) |
| Education | -0.002 (0.005) |
| High Quality | 0.019 (0.008) |
| Num.Obs. | 4870 |
| AIC | 1130.3 |
| F | 5.025 |
因果効果が下位グループによって異なる場合
intro_data2.csvの例# A tibble: 500 × 4
ID Y Treatment Female
<dbl> <dbl> <dbl> <dbl>
1 1 1.09 0 1
2 2 0.0281 0 1
3 3 1.65 0 0
4 4 3.83 1 1
5 5 2.65 1 1
6 6 1.24 1 1
7 7 0.136 1 0
8 8 0.507 0 1
9 9 2.99 1 1
10 10 4.34 1 1
11 11 0.436 0 0
12 12 0.696 1 0
13 13 0.855 0 0
14 14 0.616 1 0
15 15 0.420 0 1
# ℹ 485 more rows
方法1: 男女に分けてATEを推定
| 統制群 | 処置群 | ATE | \(t\) | \(p\) | |
|---|---|---|---|---|---|
| 男性のみ | 0.611 | 1.561 | 0.951 | -7.521 | < 0.001 |
| 女性のみ | 0.493 | 2.480 | 1.987 | -15.573 | < 0.001 |
| 全体 | 0.551 | 2.057 | 1.506 | -15.945 | < 0.001 |
男性のみ
Welch Two Sample t-test
data: Y by Treatment
t = -7.5211, df = 235.95, p-value = 1.132e-12
alternative hypothesis: true difference in means between group 0 and group 1 is not equal to 0
95 percent confidence interval:
-1.1996845 -0.7016501
sample estimates:
mean in group 0 mean in group 1
0.6105137 1.5611810
女性のみ
Welch Two Sample t-test
data: Y by Treatment
t = -15.573, df = 259.72, p-value < 2.2e-16
alternative hypothesis: true difference in means between group 0 and group 1 is not equal to 0
95 percent confidence interval:
-2.238053 -1.735599
sample estimates:
mean in group 0 mean in group 1
0.4931905 2.4800169
全体
Welch Two Sample t-test
data: Y by Treatment
t = -15.945, df = 494.24, p-value < 2.2e-16
alternative hypothesis: true difference in means between group 0 and group 1 is not equal to 0
95 percent confidence interval:
-1.692061 -1.320817
sample estimates:
mean in group 0 mean in group 1
0.5509135 2.0573524
方法2: 性別と処置有無の交差項を投入した重回帰分析
| (1) | |
|---|---|
| (Intercept) | 0.611 (0.091) |
| Treatment | 0.951 (0.131) |
| Female | -0.117 (0.127) |
| Treatment × Female | 1.036 (0.180) |
| Num.Obs. | 500 |
| R2 Adj. | 0.398 |
| F | 110.905 |
\[ \begin{align} \hat{y} & = \beta_0 + \beta_1 \mbox{Treatment} + \beta_2 \mbox{Female} + \beta_3 \mbox{Treatment} \cdot \mbox{Female} \\ & = \beta_0 + (\beta_1 + \beta_3 \mbox{Female}) \mbox{Treatment} + \beta_2 \mbox{Female}. \end{align} \]
Stable Unit Treatment Value Assumption
非干渉性: 他人の処置・統制有無が処置効果に影響を与えないこと
| Aさんが統制群 | Aさんが処置群 | |
|---|---|---|
| Bさんが統制群 | 0 | 10 |
| Bさんが処置群 | 15 | 20 |
| Aさんが統制群 | Aさんが処置群 | |
|---|---|---|
| Bさんが統制群 | 5 | 10 |
| Bさんが処置群 | 15 | 20 |
処置の無分散性: 同じグループに属する対象は同じ処置を受けること
二重盲検法(Double Blind Test)
二重盲検法を使えば以下の問題点に対処することが可能
intro_data1.dta
intro_data2.csv
intro_data3.csv
処置が複数の場合、組み合わせごとに標準化差分を計算

