11/ 交互作用
関西大学総合情報学部
すぐに実習できるように準備しておきましょう。
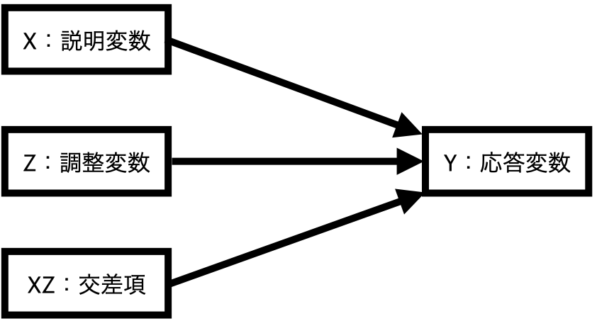
Dataフォルダーを作成し、そこにアップロードしましょう。主な説明変数(\(X\))と応答変数(\(Y\))の関係において、\(X\)が\(Y\)に与える影響がその他の変数(\(Z\))の影響を受ける場合

説明変数、調整変数、交差項を投入した回帰モデル

\[ \hat{Y} = \alpha + \beta_1 X + \beta_2 Z + \beta_3 X \cdot Z \]
\[ \hat{Y} = \alpha + (\beta_1 + \beta_3 Z) X + \beta_2 Z \]
調整変数\(Z\)が0、または1の値のみをとるダミー変数の場合(\(Z \in \{0, 1\}\))
\[ \hat{Y} = \alpha + \beta_1 X + \beta_2 Z + \beta_3 X \cdot Z \]

以下のモデルの場合…
\[ \begin{align} \hat{Y} & = 3 + 2 X + 1 Z + 3 X \cdot Z \\ & = 3 + (2 + 3Z) X + 1 Z \end{align} \]
調整変数\(Z\)が無数の値をとる連続変数の場合
\[ \hat{Y} = \alpha + \beta_1 X + \beta_2 Z + \beta_3 X \cdot Z \]

以下のモデルの場合…
\[ \begin{align} \hat{Y} & = 2 + 3 X + 2 Z - 1 X \cdot Z \\ & = 2 + (3 - 1Z) X + 2 Z \end{align} \]
# A tibble: 3,000 × 6
TempKyosan Female Age Satisfaction Interest Ideology
<dbl> <dbl> <dbl> <dbl> <dbl> <dbl>
1 20 1 69 4 4 9
2 20 1 47 1 1 7
3 0 1 37 3 3 11
4 0 0 51 4 3 11
5 20 0 38 2 3 7
6 0 0 71 5 4 11
7 10 0 47 3 3 9
8 0 0 71 4 4 11
9 25 0 75 3 4 9
10 40 1 66 2 3 6
# ℹ 2,990 more rows
| 変数 | 説明 | 備考 |
|---|---|---|
TempKyosan |
日本共産党に対する感情温度 | 高いほど好感 |
Female |
女性ダミー | 0: 男性 / 1: 女性 |
Age |
回答者の年齢 | |
Satisfaction |
政治満足度 | 高いほど満足 |
Interest |
回答者の政治関心 | 高いほど関心あり |
Ideology |
回答者のイデオロギー | 高いほど保守的 |
今回のデータはすべて連続変数扱いとなるため、前処理は不要
Descriptive Statistics
jes_df
N: 3000
Mean Std.Dev Min Max N.Valid
------------------ ------- --------- ------- -------- ---------
TempKyosan 26.88 24.95 0.00 100.00 3000.00
Female 0.50 0.50 0.00 1.00 3000.00
Age 47.34 15.63 18.00 75.00 3000.00
Satisfaction 2.45 1.08 1.00 5.00 3000.00
Interest 2.74 0.83 1.00 4.00 3000.00
Ideology 6.34 2.10 1.00 11.00 3000.00
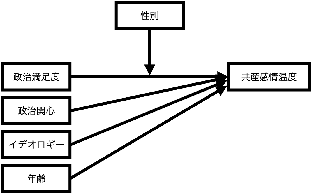
政治満足度が共産党に対する感情温度に与える影響を調べたい。ただし、この影響は一定ではなく、性別や年齢によって異なるかも知れない。政治満足度が共産党に対する感情温度に与える影響の不均一性を調べるためにはどうすれば良いだろうか。仮説検定に使用する有意水準は5%とする(\(\alpha = 0.05\))。
モデル1
TempKoysan)Satisfaction)Female)\(\leftarrow\) ダミー変数(二値変数)Interest)、イデオロギー(Ideology)、年齢(Age)モデル2
TempKoysan)Satisfaction)Age)\(\leftarrow\) 連続変数Interest)、イデオロギー(Ideology)、女性ダミー(Female)政治満足度(= 説明変数)が共産党に対する感情温度(= 応答変数)に与える影響は性別(= 調整変数)によって変わる。

\[ \widehat{\mbox{TempKyosan}} = \alpha + \beta_1 \mbox{Satisfaction} + \beta_2 \mbox{Female} + \beta_3 \mbox{Interest} + \beta_4 \mbox{Ideology} + \beta_5 \mbox{Age} + \beta_6 (\mbox{Satisfaction} \cdot \mbox{Female}) \]

政治満足度(= 説明変数)が共産党に対する感情温度(= 応答変数)に与える影響は年齢(= 調整変数)によって変わる。

\[ \widehat{\mbox{TempKyosan}} = \alpha + \beta_1 \mbox{Satisfaction} + \beta_2 \mbox{Age} + \beta_3 \mbox{Interest} + \beta_4 \mbox{Ideology} + \beta_5 \mbox{Female} + \beta_6 (\mbox{Satisfaction} \cdot \mbox{Age}) \]

lm()内の回帰式(formula)に2つの変数を*でつなぐだけ
A * Bは説明変数としてA、B、A\(\times\)Bを同時に投入することを意味する。| 係数 | 標準誤差 | t値 | p値 | |
|---|---|---|---|---|
| 切片 | 49.275 | 2.587 | 19.047 | < 0.001 |
| 政治満足度 | −4.732 | 0.561 | −8.429 | < 0.001 |
| 女性 | 2.752 | 2.186 | 1.259 | 0.208 |
| 政治関心 | 0.217 | 0.571 | 0.381 | 0.703 |
| イデオロギー | −1.887 | 0.214 | −8.815 | < 0.001 |
| 年齢 | −0.040 | 0.030 | −1.347 | 0.178 |
| 政治満足度 * 女性 | 0.902 | 0.817 | 1.104 | 0.270 |
fit1)fit1)
fit1_pred <- predictions(fit1, newdata = datagrid(Satisfaction = 1:5,
Female = 0:1))
fit1_pred |>
mutate(Female = if_else(Female == 1, "女性", "男性")) |>
ggplot() +
geom_pointrange(aes(x = Satisfaction, y = estimate,
ymin = conf.low, ymax = conf.high, color = Female),
position = position_dodge2(0.5)) +
labs(x = "政治満足度", y = "共産感情温度の予測値と95%信頼区間 (度)",
fill = "", color = "") +
theme_bw() +
theme(legend.position = "bottom")
fit2)Ageの値 = 20):3.31 - 0.16 \(\times\) 20 = 0.11
Ageの値 = 40):3.31 - 0.16 \(\times\) 40 = -3.09
Ageの値 = 60):3.31 - 0.16 \(\times\) 60 = -6.29
fit2)
fit2_pred <- predictions(fit2, newdata = datagrid(Satisfaction = 1:5,
Age = c(20, 40, 60)))
fit2_pred |>
mutate(Age = factor(Age, levels = c(20, 40, 60),
labels = c("20歳", "40歳", "60歳"))) |>
ggplot(aes(x = Satisfaction)) +
geom_ribbon(aes(y = estimate, ymin = conf.low, ymax = conf.high,
fill = Age), alpha = 0.3) +
geom_line(aes(y = estimate, color = Age), linewidth = 1) +
labs(x = "政治満足度", y = "共産感情温度の予測値と95%信頼区間 (度)",
fill = "", color = "") +
theme_bw() +
theme(legend.position = "bottom")交互作用: 説明変数が応答変数に与える影響は調整変数の値によって変わる
{marginaleffect}パッケージのslopes()関数
variablesには説明変数名を指定する(変数名は必ず"で囲むこと)fit1の場合:調整変数(Female)の値が0と1の場合の限界効果
datagrid(Female = c(0, 1))、またはdatagrid(Female = 0:1)fit2の場合:調整変数(Age)の値が18、19、20、…、75の場合の限界効果
datagrid(Age = 18:75)estimate列、\(p\)値はp.value列、95%信頼区間はconf.low(下限)とconf.high(上限)conf_level = 0.9、0.01ならconf_level = 0.99を追加fit1)性別と関係なく、政治満足度は共産感情温度に負の影響を与える。
Female Estimate Std. Error z Pr(>|z|) S 2.5 % 97.5 %
0 -4.73 0.561 -8.43 <0.001 54.7 -5.83 -3.63
1 -3.83 0.611 -6.27 <0.001 31.3 -5.03 -2.63
Term: Satisfaction
Type: response
Comparison: dY/dX
Femaleの値が0の場合
Satisfactionが1単位上がるとTempKyosanは約-4.73度下がり、\(\alpha = 0.05\)の水準で統計的に有意である。Femaleの値が1の場合
Satisfactionが1単位上がるとTempKyosanは約-3.83度下がり、\(\alpha = 0.05\)の水準で統計的に有意である。fit2)
Age Estimate Std. Error z Pr(>|z|) S 2.5 % 97.5 %
18 0.4860 0.912 0.5327 0.594 0.8 -1.30 2.27
19 0.3292 0.890 0.3700 0.711 0.5 -1.41 2.07
20 0.1725 0.867 0.1990 0.842 0.2 -1.53 1.87
21 0.0157 0.842 0.0187 0.985 0.0 -1.63 1.67
22 -0.1411 0.820 -0.1721 0.863 0.2 -1.75 1.47
--- 48 rows omitted. See ?print.marginaleffects ---
71 -7.8227 0.724 -10.8088 <0.001 88.0 -9.24 -6.40
72 -7.9795 0.745 -10.7044 <0.001 86.4 -9.44 -6.52
73 -8.1362 0.768 -10.5922 <0.001 84.7 -9.64 -6.63
74 -8.2930 0.790 -10.4909 <0.001 83.1 -9.84 -6.74
75 -8.4498 0.812 -10.4048 <0.001 81.8 -10.04 -6.86
Term: Satisfaction
Type: response
Comparison: dY/dX
Ageが18の場合、SatisfactionはTempKyosanに影響を与えているとは言えない(\(p \geq 0.05\)のため)。Ageが19の場合、SatisfactionはTempKyosanに影響を与えているとは言えない(\(p \geq 0.05\)のため)。Ageが75の場合、Satisfactionが1単位上がるとTempKyosanは約-8.4度下がり、\(\alpha = 0.05\)の水準で統計的に有意である。print()内にtopn = Infを追加する。
Age Estimate Std. Error z Pr(>|z|) S 2.5 % 97.5 %
18 0.4860 0.912 0.5327 0.59428 0.8 -1.30 2.274
19 0.3292 0.890 0.3700 0.71138 0.5 -1.41 2.073
20 0.1725 0.867 0.1990 0.84225 0.2 -1.53 1.871
21 0.0157 0.842 0.0187 0.98511 0.0 -1.63 1.666
22 -0.1411 0.820 -0.1721 0.86337 0.2 -1.75 1.465
23 -0.2978 0.798 -0.3731 0.70908 0.5 -1.86 1.267
24 -0.4546 0.776 -0.5859 0.55791 0.8 -1.98 1.066
25 -0.6114 0.752 -0.8130 0.41623 1.3 -2.09 0.863
26 -0.7681 0.730 -1.0521 0.29277 1.8 -2.20 0.663
27 -0.9249 0.709 -1.3054 0.19177 2.4 -2.31 0.464
28 -1.0817 0.689 -1.5699 0.11643 3.1 -2.43 0.269
29 -1.2384 0.668 -1.8536 0.06379 4.0 -2.55 0.071
30 -1.3952 0.646 -2.1600 0.03078 5.0 -2.66 -0.129
31 -1.5520 0.626 -2.4791 0.01317 6.2 -2.78 -0.325
32 -1.7087 0.608 -2.8114 0.00493 7.7 -2.90 -0.518
33 -1.8655 0.589 -3.1665 0.00154 9.3 -3.02 -0.711
34 -2.0223 0.570 -3.5505 < 0.001 11.3 -3.14 -0.906
35 -2.1790 0.552 -3.9493 < 0.001 13.6 -3.26 -1.098
36 -2.3358 0.536 -4.3603 < 0.001 16.2 -3.39 -1.286
37 -2.4926 0.520 -4.7979 < 0.001 19.3 -3.51 -1.474
38 -2.6493 0.503 -5.2656 < 0.001 22.8 -3.64 -1.663
39 -2.8061 0.489 -5.7370 < 0.001 26.6 -3.76 -1.847
40 -2.9629 0.476 -6.2267 < 0.001 31.0 -3.90 -2.030
41 -3.1196 0.465 -6.7148 < 0.001 35.6 -4.03 -2.209
42 -3.2764 0.453 -7.2263 < 0.001 40.9 -4.17 -2.388
43 -3.4332 0.443 -7.7508 < 0.001 46.6 -4.30 -2.565
44 -3.5900 0.435 -8.2580 < 0.001 52.6 -4.44 -2.738
45 -3.7467 0.429 -8.7380 < 0.001 58.5 -4.59 -2.906
46 -3.9035 0.424 -9.2162 < 0.001 64.8 -4.73 -3.073
47 -4.0603 0.419 -9.6828 < 0.001 71.2 -4.88 -3.238
48 -4.2170 0.417 -10.1021 < 0.001 77.3 -5.04 -3.399
49 -4.3738 0.418 -10.4752 < 0.001 82.9 -5.19 -3.555
50 -4.5306 0.419 -10.8155 < 0.001 88.2 -5.35 -3.710
51 -4.6873 0.422 -11.1132 < 0.001 92.9 -5.51 -3.861
52 -4.8441 0.427 -11.3577 < 0.001 96.9 -5.68 -4.008
53 -5.0009 0.433 -11.5521 < 0.001 100.1 -5.85 -4.152
54 -5.1576 0.441 -11.7059 < 0.001 102.7 -6.02 -4.294
55 -5.3144 0.450 -11.8168 < 0.001 104.6 -6.20 -4.433
56 -5.4712 0.460 -11.8826 < 0.001 105.8 -6.37 -4.569
57 -5.6279 0.472 -11.9195 < 0.001 106.4 -6.55 -4.703
58 -5.7847 0.485 -11.9316 < 0.001 106.6 -6.73 -4.834
59 -5.9415 0.499 -11.9073 < 0.001 106.2 -6.92 -4.963
60 -6.0982 0.514 -11.8529 < 0.001 105.2 -7.11 -5.090
61 -6.2550 0.530 -11.7923 < 0.001 104.2 -7.29 -5.215
62 -6.4118 0.546 -11.7371 < 0.001 103.3 -7.48 -5.341
63 -6.5685 0.564 -11.6535 < 0.001 101.8 -7.67 -5.464
64 -6.7253 0.583 -11.5369 < 0.001 99.9 -7.87 -5.583
65 -6.8821 0.602 -11.4399 < 0.001 98.3 -8.06 -5.703
66 -7.0388 0.621 -11.3331 < 0.001 96.5 -8.26 -5.822
67 -7.1956 0.640 -11.2493 < 0.001 95.1 -8.45 -5.942
68 -7.3524 0.660 -11.1396 < 0.001 93.3 -8.65 -6.059
69 -7.5092 0.682 -11.0153 < 0.001 91.3 -8.85 -6.173
70 -7.6659 0.703 -10.9031 < 0.001 89.5 -9.04 -6.288
71 -7.8227 0.724 -10.8088 < 0.001 88.0 -9.24 -6.404
72 -7.9795 0.745 -10.7044 < 0.001 86.4 -9.44 -6.518
73 -8.1362 0.768 -10.5922 < 0.001 84.7 -9.64 -6.631
74 -8.2930 0.790 -10.4909 < 0.001 83.1 -9.84 -6.744
75 -8.4498 0.812 -10.4048 < 0.001 81.8 -10.04 -6.858
Term: Satisfaction
Type: response
Comparison: dY/dX
Satisfaction)は共産感情温度(TempKyosan)に影響を与えるとは言えない。fit1_ame)fit2_ame)geom_hline(yintercept = 0)レイヤーを追加fit1_ameやfit2_ame)と図両方を見る必要がある。
fit1_ameの例
fit1_ameの中身と図、両方を見て解釈する。
fit2_ameの例
Age Estimate Std. Error z Pr(>|z|) S 2.5 % 97.5 %
18 0.4860 0.912 0.5327 0.59428 0.8 -1.30 2.274
19 0.3292 0.890 0.3700 0.71138 0.5 -1.41 2.073
20 0.1725 0.867 0.1990 0.84225 0.2 -1.53 1.871
21 0.0157 0.842 0.0187 0.98511 0.0 -1.63 1.666
22 -0.1411 0.820 -0.1721 0.86337 0.2 -1.75 1.465
23 -0.2978 0.798 -0.3731 0.70908 0.5 -1.86 1.267
24 -0.4546 0.776 -0.5859 0.55791 0.8 -1.98 1.066
25 -0.6114 0.752 -0.8130 0.41623 1.3 -2.09 0.863
26 -0.7681 0.730 -1.0521 0.29277 1.8 -2.20 0.663
27 -0.9249 0.709 -1.3054 0.19177 2.4 -2.31 0.464
28 -1.0817 0.689 -1.5699 0.11643 3.1 -2.43 0.269
29 -1.2384 0.668 -1.8536 0.06379 4.0 -2.55 0.071
30 -1.3952 0.646 -2.1600 0.03078 5.0 -2.66 -0.129
31 -1.5520 0.626 -2.4791 0.01317 6.2 -2.78 -0.325
32 -1.7087 0.608 -2.8114 0.00493 7.7 -2.90 -0.518
33 -1.8655 0.589 -3.1665 0.00154 9.3 -3.02 -0.711
34 -2.0223 0.570 -3.5505 < 0.001 11.3 -3.14 -0.906
35 -2.1790 0.552 -3.9493 < 0.001 13.6 -3.26 -1.098
36 -2.3358 0.536 -4.3603 < 0.001 16.2 -3.39 -1.286
37 -2.4926 0.520 -4.7979 < 0.001 19.3 -3.51 -1.474
38 -2.6493 0.503 -5.2656 < 0.001 22.8 -3.64 -1.663
39 -2.8061 0.489 -5.7370 < 0.001 26.6 -3.76 -1.847
40 -2.9629 0.476 -6.2267 < 0.001 31.0 -3.90 -2.030
41 -3.1196 0.465 -6.7148 < 0.001 35.6 -4.03 -2.209
42 -3.2764 0.453 -7.2263 < 0.001 40.9 -4.17 -2.388
43 -3.4332 0.443 -7.7508 < 0.001 46.6 -4.30 -2.565
44 -3.5900 0.435 -8.2580 < 0.001 52.6 -4.44 -2.738
45 -3.7467 0.429 -8.7380 < 0.001 58.5 -4.59 -2.906
46 -3.9035 0.424 -9.2162 < 0.001 64.8 -4.73 -3.073
47 -4.0603 0.419 -9.6828 < 0.001 71.2 -4.88 -3.238
48 -4.2170 0.417 -10.1021 < 0.001 77.3 -5.04 -3.399
49 -4.3738 0.418 -10.4752 < 0.001 82.9 -5.19 -3.555
50 -4.5306 0.419 -10.8155 < 0.001 88.2 -5.35 -3.710
51 -4.6873 0.422 -11.1132 < 0.001 92.9 -5.51 -3.861
52 -4.8441 0.427 -11.3577 < 0.001 96.9 -5.68 -4.008
53 -5.0009 0.433 -11.5521 < 0.001 100.1 -5.85 -4.152
54 -5.1576 0.441 -11.7059 < 0.001 102.7 -6.02 -4.294
55 -5.3144 0.450 -11.8168 < 0.001 104.6 -6.20 -4.433
56 -5.4712 0.460 -11.8826 < 0.001 105.8 -6.37 -4.569
57 -5.6279 0.472 -11.9195 < 0.001 106.4 -6.55 -4.703
58 -5.7847 0.485 -11.9316 < 0.001 106.6 -6.73 -4.834
59 -5.9415 0.499 -11.9073 < 0.001 106.2 -6.92 -4.963
60 -6.0982 0.514 -11.8529 < 0.001 105.2 -7.11 -5.090
61 -6.2550 0.530 -11.7923 < 0.001 104.2 -7.29 -5.215
62 -6.4118 0.546 -11.7371 < 0.001 103.3 -7.48 -5.341
63 -6.5685 0.564 -11.6535 < 0.001 101.8 -7.67 -5.464
64 -6.7253 0.583 -11.5369 < 0.001 99.9 -7.87 -5.583
65 -6.8821 0.602 -11.4399 < 0.001 98.3 -8.06 -5.703
66 -7.0388 0.621 -11.3331 < 0.001 96.5 -8.26 -5.822
67 -7.1956 0.640 -11.2493 < 0.001 95.1 -8.45 -5.942
68 -7.3524 0.660 -11.1396 < 0.001 93.3 -8.65 -6.059
69 -7.5092 0.682 -11.0153 < 0.001 91.3 -8.85 -6.173
70 -7.6659 0.703 -10.9031 < 0.001 89.5 -9.04 -6.288
71 -7.8227 0.724 -10.8088 < 0.001 88.0 -9.24 -6.404
72 -7.9795 0.745 -10.7044 < 0.001 86.4 -9.44 -6.518
73 -8.1362 0.768 -10.5922 < 0.001 84.7 -9.64 -6.631
74 -8.2930 0.790 -10.4909 < 0.001 83.1 -9.84 -6.744
75 -8.4498 0.812 -10.4048 < 0.001 81.8 -10.04 -6.858
Term: Satisfaction
Type: response
Comparison: dY/dX
fit2_ame |>
ggplot(aes(x = Age)) +
geom_hline(yintercept = 0) +
geom_ribbon(aes(ymin = conf.low, ymax = conf.high), fill = "gray80") +
geom_line(aes(y = estimate), linewidth = 1) +
labs(x = "年齢", y = "政治満足度が共産感情温度に\n与える影響と95%信頼区間") +
scale_x_continuous(breaks = c(18, 20, 30, 40, 50, 60, 70, 75),
labels = c(18, 20, 30, 40, 50, 60, 70, 75)) +
theme_bw(base_size = 12)
fit2_ameの中身と図、両方を見て解釈する。